- A+
【GG扑克室(ggpks.com)报道】
大发扑克|dafapoker|大发在线德州扑克|大发德州扑克策略网站——大发游戏导航(dfyxdh.com)
迈博myball最新网站|迈博体育官网|最好玩的体育直播观看平台——迈博体育导航(mbo388.com)
《The Mathematics of Poker》中文翻译
感谢梅有钱(梅老板)的合作翻译(这一篇都是他翻的!)
牌例 12.2 [0,1]全下或弃牌游戏#2
双方有相同的S单位筹码。
双方随机从[0,1]收到一个数。
不是庄位的玩家(被称为防守玩家或者X)放一个单位的大盲。
庄位(被称为进攻玩家或者Y)放0.5个单位的盲注,并且首先行动。
进攻玩家可以要么全下S单位,或者弃牌,也就是放弃小盲。
如果进攻玩家全下,那么防守玩家可以跟注,可以弃牌。
如果摊牌,较小的数字会赢下2/3的底池。
这个游戏与之前的非常相似,我们可以用同样的方法来解决,除了2个显著区别。在之前游戏里,当筹码量较浅时(比如S=1),进攻玩家仍然需要全下75%的手牌,尽管防守玩家也会跟注75%的手牌。这是因为接近1的手牌几乎没有任何价值。但是在这个游戏里,即使最差的牌都有1/3的底池赢率,因为规则限制。所以在筹码量为1时,进攻玩家把筹码放入底池会比弃牌又更高赢率。其次,在之前游戏里,防守玩家用比进攻玩家全下更差的手牌跟注是没有任何赢率的。然而,在这个游戏里,再也不是这样了,因为防守玩家至少会有1/3的底池赢率。
我们把这个游戏分成两类讨论:
第一类:S < 3
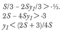
当筹码量小于3个单位时,我们可以总结一些关于防守玩家的策略。如果进攻玩家全下,防守玩家会至少得到2:1的赔率。因为防守玩家总是有至少1/3的赢率,所以他总是应该去跟注——也就是说,x = 1。这使得对于防守玩家而言,没有什么策略选项,因为弃牌被跟注所主导。因此,进攻玩家只需要简单地最大化他面对防守玩家的策略就可以:
防守玩家会跟注所有的手牌,因此,如果进攻玩家用y1全下,防守玩家有比y1更好的概率是p = y1,更差的概率是p = 1 - y1。
所以这里进攻玩家应该全下:
因为他在手牌大于y1时都会全下,所以他的阈值y是:
这就是当游戏筹码量小于3时的最优策略,即,进攻玩家只要在满足方程的时候全下,其余时候弃牌,对于防守玩家只需要永远跟注。当我们看这个游戏在不同筹码量时,我们会发现是合理的。比如筹码量小于1.5单位,那么这里进攻玩家有2:1的赔率,即使他被100%的跟注。所以他只要在低于阈值的时候,永远全下。当我们把S替换成1.5时,能看到这符合进攻玩家的所有手牌。
第二类:S > 3
当筹码量大于3时,防守玩家不再有2:1的赔率来进行跟注。所以,他这里不会跟注全部的手牌。实际上,他不能用那些比全下阈值更差的牌进行跟注。如果他这么做,他只会简单地得到1/3底池,而因为筹码量足够深,这会导致期望比弃牌更差。所以,这时候的游戏就相对类似第一个全下或弃牌游戏,除了最好的手牌也只有2/3底池赢率。
我们可以用解决之前游戏的同样无差别方程来解决(调整一些底池分布的地方)。这里的一个特点是,当摊牌,最好的牌可以赢S/3单位,而最差的牌会输S/3单位。
防守玩家跟注概率x,弃牌概率是1-x
让两者相等,从而使Y的全下和弃牌无差别:
对于X而言,弃牌给全下的期望是-1单位,而用x跟注全下的期望是:
正如例子12.1里,进攻玩家全下y手牌(之前我们知道x < y),这些牌里,(y-x)/y的部分是比跟注阈值x要差,而x/y部分比x更好。
让两者相等,从而使X的跟注和弃牌无差别:
所以这里进攻玩家的最优策略就是全下9S/(S+3)2的手牌,而防守玩家跟注9/(2S+3)的手牌。
回忆之前例子12.1,整体打法偏紧:也就是说,当筹码量接近10时,进攻玩家全下大概1/4的牌。相比较这个游戏里,这里进攻玩家要全下(9(10)/(10+3)2) = 90/169,基本上超过1/2的手牌了!防守玩家需要跟注(9/(6+2(10)) = 9/26的手牌,略小于1/3。这看上去可能非常松。那么,这个是正确的?当有10个大盲时,需要全下超过1/2的牌,即使被跟注会2:1落后?
是的。这里看上去矛盾的原因是我们喜欢考虑那种“投机X去赢Y”的情况了,投入一个固定大小,然后有多少成功的可能(通过让对方弃牌,或者摊牌获胜)导致赢一个其他的固定数量。在那个逻辑下,冒险10去赢1的确非常愚蠢,如果对手会跟注1/3的时候。然而,这里并非如此。回顾之前提到的,进攻玩家即使被跟注,他也只会损失S/3,而不是整个S。所以这里进攻玩家只是投入3个单位,有1/3的概率赢1.5个底池的死钱。
当我们比较游戏#2在S>3时和游戏#1的结论,会发现两者更强烈的联系:
游戏#1:
游戏#2:
游戏#2的结论,只要把S替换成S/3就成了游戏#1的结论。这是因为游戏#2的有效筹码量实际上只有S/3——也就是每次好牌在摊牌时可以赢下的大小。我们可以用这个有效筹码量的概念来计算游戏的价值,G,通过直接替换S/3到之前游戏#1的公式里。
但是,这只是针对S>3时的游戏价值。还有两个区域的筹码量会有不同的答案。如果S<3/2,那么双方都会玩所有的牌,所以游戏价值是0。而在3/2到3之间,正如我们在第一类里看到的:
注意到这里3个价值区域是连续的,正如我们所预料,那就是:
但是,如果我们看一下x和y的阈值,会发现有些不同。那就是,如果S < 3, x = 1,但是突然当S稍微大于3的时候,x=3/4。这看上去有点不同寻常,但是实际上它说明了策略本身是不连续的,取决于筹码量或者说底池大小。
这两个玩具游戏可以帮助我们理解接受一个事实,也就是最好的牌并不总是能赢下全部的底池,即使是全下或弃牌游戏里。当最好的牌可以赢下整个底池时,那么恰当的打法就是相对紧一些,而防守玩家会有相当大的优势对于大多数筹码量而言。然而,当最好的牌在游戏#2里只能赢下2/3时,恰当的打法就是放松一点,或者与直觉相悖,进攻玩家在各个筹码量直到6bb时都有一定优势。
正如我们在下一节马上要看到的,无限注德州扑克也是相对松凶的。
SOON88顺博|顺博官网|顺博娱乐场|顺博体育|顺博游戏网址发布页——顺博体育导航(shb388.com)
天龙扑克是国际扑克界中著名的在线扑克室之一,亚洲扑克游戏领导者!——天龙扑克(www.tianlongqipai.com)
迈博myball最新网站|迈博体育官网|最好玩的体育直播观看平台——迈博体育导航(mbo388.com)
好消息 蜗牛扑克GG扑克室-全新德扑玩法“极速&现金桌"上线!
全天24小时随机将掉落现金红包至牌局底池或玩家余额!快体验吧
蜗牛扑克优惠提供30%超高额返水
蜗牛扑克官方网址:www.allnew366.com
蜗牛扑克网址发布页:www.allnewpuke.com
蜗牛娱乐官网:www.allnewbet8.com
蜗牛扑克GG官网:www.ggallnew.com
打德州就到GG扑克
GGPUKE 摩拳擦掌,聚焦中国!
为中国地区玩家提供安全可靠的游戏环境,打造在线竞技扑克平台
提供喜爱德州比赛的用户们一个新的竞技之路,同時,带给中国用户更多特殊礼遇。
GG扑克官方注册网址:www.ggp666.com
GG扑克室官方网址:www.ggpks.com
以上资讯由GG扑克中文网整理提供!









